I. Introduction
The increasing global threat of climate change, which is largely driven by rising greenhouse gases (GHG), has placed green growth, not just economic growth, at the heart of the sustainable development agendas of many countries, including Nigeria. This is demonstrated by the joint commitment to global initiatives, including the Paris Agreement and the Sustainable Development Goals (SDGs). Extant studies argue that rising economic activities have associated environmental costs (Hao et al., 2021; Magazzino et al., 2022). However, the emergence of green growth, a development strategy that promotes environmentally sustainable and socially inclusive economic growth (Senshaw et al., 2020), presents the possibility of achieving economic growth without harming the environment.
The prospects of advancing green growth in Nigeria, one of the highest GHG emitters in Africa, remains vague with the country accounting for 14.3% of the GHG emissions in Africa in 2020 while its various primary components – carbon dioxide (CO2), methane (CH4) and nitrous oxide (N2O) emissions – increased respectively by about 24.3%, 5.3%, and 27.9% between 2010 and 2020. Green growth offers a golden opportunity to reverse this trend (Senshaw et al., 2020; Yan et al., 2020). However, the slow progress in advancing green economy in Nigeria, despite the emphasis of the country’s Medium Term National Development Plan (MTNDP) (2021-2025) on lowering GHG, poses severe threats to the achievement of sustainable development plans.
The pertinent question then becomes, can Nigeria advance green growth in the face of its rising GHG? This paper answers this question empirically and provides strategies to foster green growth while lowering GHG emissions. The novelty of this paper is threefold. First, it deviates from the conventional stream of analysing the effect of greenhouse gases on economic growth (Belaïd & Youssef, 2017; Magazzino et al., 2022) to a novel approach of simulating the effect of GHG on green growth in Nigeria. Past studies on the GHG-green growth nexus focused more on advanced countries (Sarkodie & Owusu, 2020; Yan et al., 2020) with little evidence for developing countries, including Nigeria. The focus on green growth draws attention to the need to foster efficient and effective use of natural assets for sustainable economic growth and environmental sustainability in Nigeria. Second, it adopts the Dynamic Simulated Autoregressive Distributed Lag (DS-ARDL) approach, introduced by Jordan and Philips (2018), to simulate the effect of GHG on green growth in Nigeria. Traditional ARDL models have complex dynamic specifications, which complicates the interpretation of the effect of changes in explanatory variables on the dependent variable (Sarkodie & Owusu, 2020). The DS-ARDL model overcomes this drawback as it uses counterfactual scenarios to express the fundamental significance of estimates.
Third, it contributes to the global debate on green growth and provides policy-based strategies to account for the potential shocks due to Nigeria’s quest to lower GHG emissions. Given Nigeria’s vulnerability to climate change and its high dependence on natural resource exploitation, this paper will help policymakers shape Nigeria’s economic activities for a smooth transition to a low-carbon economy. The findings would also be useful in promoting green growth in other countries with similar characteristics as Nigeria. After this section, the next section presents the methods and data while the subsequent section discusses the empirical findings. The last section concludes.
II. Method and Data
This paper examines and simulates the green growth effect of GHG emissions in Nigeria. The relationship is hinged on the theory of green competitiveness, which argues that GHG emissions are inimical to green growth (Wei et al., 2023). Following Yan et al. (2020), the empirical model is specified as follows:
lnGGt=δ0+δ1lnGHGt+δ2lnGDPt+δ3REt+δ4TOPt+δ5lnFDIt+μt
where and denote green growth, greenhouse gases, GDP per capita, renewable energy consumption, trade openness, foreign direct investment, time, and disturbance term, respectively. Following theoretical postulations, all the explanatory variables, except GHG, are expected to stimulate green growth. The explanatory variables’ data were obtained from the World Development Indicators database while that of green growth was sourced from the OECD database. The prefix, ln, is added to the variables that are not expressed in percentage for ease of result interpretation.
The description, source, and descriptive statistics of relevant variables are shown in Table 1. Green growth, GHG emissions, and renewable energy consumption averaged US$10.38 per kg, 0.27 million kt of CO2 equivalent, and 84.95%, respectively. Their respective standard deviation values show they are as volatile as real GDP, trade openness, and foreign direct investment.
The DS-ARDL analytical approach, introduced by Jordan and Philips (2018), is employed to estimate the equation given its ability to not only generate unbiased estimates but also to use stochastic simulation techniques to display the visual effect of a counterfactual change in one regressor during certain periods (Jordan & Philips, 2018). Intuitively, it unveils the substantive estimates of the time-series model. However, two conditions must be fulfilled before the DS-ARDL approach can be utilized (Sarkodie & Owusu, 2020). First, the order of integration of the dependent variables must be I(1) while those of regressors could be a blend of I(0) and I(1) but not higher. Second, the series must be cointegrated for reliable simulation. Thus, the unit root test (using the PP and ADF methods) and cointegration test (using the Pesaran, Shin, and Smith (PSS) (2001) bounds test method) were conducted to ensure the fulfilment of these requirements.
The DS-ARDL version of equation (1) is specified as follows:
Δ(lnGG)t= α0+θ0(lnGG)t−1+θ1(lnGHG)t−1+θ2(lnGDP)t−1+θ3(RE)t−1+θ4(TOP)t−1+θ5(lnFDI)t−1+p∑i=1αiΔ(lnGG)t−1+q1∑j=0β1jΔ(lnGHG)t−j+q2∑j=0β2jΔ(lnGDP)t−j+q3∑j=0β3jΔ(RE)t−j+q4∑j=0β4jΔ(TOP)t−j+q5∑j=0β5jΔ(lnFDI)t−j+εt
Equation (2) shows that change in green growth depends on the intercept the explanatory variables at the preceding period (t-1) in levels to their highest first-differenced p and lags, and the current period disturbance term. After estimating Equation (2), post-estimation tests are conducted to confirm model validity.
III. Results and Discussions
The results of the PP and ADF stationarity test approaches, reported in Table 2, suggest that green growth is strictly stationary at first difference while other variables have a blend of level and first difference stationarity status. Following this finding, the long-run convergence of the variables is examined using the PSS bounds test, whose results, in Table 2, are in the affirmative as the null hypothesis of no cointegration is rejected. These fulfil the conditions for adopting the DS-ARDL estimation method.
The empirical finding on the green growth effect of GHG emissions is presented in Table 3. The results show that GHG is inversely linked with green growth regardless of the time dimension considered. However, the green growth effect of GHG emissions is statistically significant in the long run but not in the short run. This indicates that the green growth impact of GHG emissions is less pronounced in the short run as the environmental consequences of sustained economic growth might not be immediately impactful. Nevertheless, the negative impact of GHG emissions on green growth can accumulate over time to pose severe long-term environmental and economic challenges. This finding aligns with the theory of green competitiveness and extant studies (Belaïd & Youssef, 2017; Hao et al., 2021; Magazzino et al., 2022), which argued that GHG emissions are inimical to green growth. It highlights that rising GHG emissions pose severe threats to the natural environment and have a green growth-dampening effect, which could undermine the green growth objective of Nigeria. Nevertheless, further results present renewable energy consumption as a viable and sustainable option to promote green growth in Nigeria both in the short term and long term as its coefficient is positive and statistically significant.
The estimates of the other control variables have the expected signs across different time dimensions. Specifically, GDP, trade openness, and FDI have positive signs, denoting that they possess the potential to enhance green growth in Nigeria. These results are plausible as green growth will be impossible without economic growth. More so, trade openness and FDI are important conduits through which technology, modern knowledge, and skills that could enhance green practices can be transferred to developing countries (Yan et al., 2020). Regarding the model diagnostics, the model has a high predictive power as the regressors explain about 90.7% of the changes in green growth. The results of the serial correlation (Breusch Godfrey LM test), heteroscedasticity (Cameron & Trivedi’s IM-test), and normality (skewness and kurtosis) tests as well as the stability test (shown in Figure 1) reveal that the model conforms to the classical linear regression model assumptions. The plots in Figure 2 further validate the normal distribution of the residuals. The endogeneity tests (shown by the Durbin and Wu-Hausman statistics) reveal that GHG and green growth are not endogenous. These validate the empirical results and make them fit for policy prescriptions.
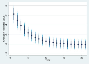
The main crux of this study is to simulate the effect of a counterfactual change in GHG on green growth using the DS-ARDL approach. This simulation is based on 7.5% (the GHG growth rate between 2015, the year of the inauguration of the Paris Agreement and SDGs, and 2020) and 5000 simulations over 30 years. The impulse response plot generated from the DS-ARDL model is shown in Figure 3. It reveals that a positive shock to GHG emissions will gradually lower the prospects of green growth in the first ten years but flatten afterward. Precisely, green growth responds instantaneously to a positive GHG shock in the short run but its response stabilises in the long run. This implies that a positive shock to GHG will lower future green growth prospects, making Nigeria unlikely to achieve green growth in 2025 and 2030, the year of expiration of the MTNDP and SDGs, respectively, if the current pace of GHG is not halted. In addition, achieving the Paris Agreement in Nigeria will be threatened if the rising GHG emission conundrum is left unaddressed. This necessitates taking expeditious and strategic actions to imbibe sustainable practices that would lower GHG emissions and increase green growth prospects in Nigeria.
IV. Conclusion
Despite the quest to simultaneously advance economic growth and environmental sustainability in Nigeria, the prevalence of fossil fuels cum the rising spate of GHG emissions in the country undermines green growth. This paper evaluated and simulated the green growth impact of GHG in Nigeria using the novel DS-ARDL approach and relevant data covering 1990-2020. The results show that GHG emissions pose significant threats to the advancement of green growth in Nigeria. Although these emissions will gradually lower green growth in the short term, they will stabilize at an undesirable threshold in the long term. However, renewable energy, GDP, trade openness, and FDI are found to be important pathways to promote green growth by mainstreaming sustainable practices into the production processes in Nigeria. The results underscore the importance of implementing policies and practices that mitigate GHG and promote environmentally sustainable economic growth to minimise the adverse long-term GHG consequences.



